Notícias
Três Novas Substâncias Psicoativas Chegam ao Brasil: Um Alerta para a Saúde Pública e o Mercado Ilícito
O Que São as “Magic Mushroom Gummies” e Por Que Elas Estão Causando Preocupação?
No último mês, um alerta do Sistema de Alerta Rápido sobre Drogas (SAR) chamou atenção para a chegada de três novas substâncias psicoativas em território brasileiro. Entre elas, destacam-se dois compostos encontrados em um produto industrializado conhecido como Magic Mushroom Gummies, da marca TRE Hoouse. Esses produtos, que parecem inofensivos à primeira vista, têm se tornado uma porta de entrada para substâncias desconhecidas e potencialmente perigosas.
Os gummies, aparentemente vendidos como suplementos ou itens recreativos, contêm substâncias que nunca haviam sido registradas no Brasil até agora. Isso levanta questões importantes: como essas drogas conseguem atravessar fronteiras sem serem detectadas? E por que os consumidores estão tão vulneráveis a esse tipo de produto?
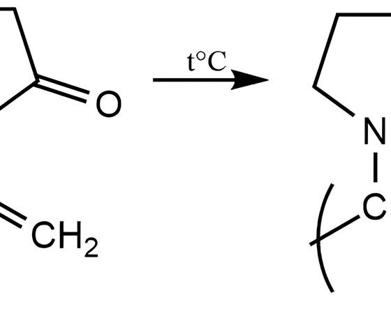
O N-Pirrolidino Protonitazeno: O Perigo Silencioso dos Opioides Sintéticos
Além dos compostos encontrados nos gummies, outra substância identificada foi o N-pirrolidino protonitazeno, um opioide sintético pertencente à classe dos Nitazenos. Esse composto, extremamente potente, foi detectado após o atendimento a um paciente que relatou ter consumido álcool e um comprimido de origem desconhecida. A análise realizada pelo Laboratório de Toxicologia Analítica e pelo CIATox-Campinas revelou a presença dessa substância, que pode causar graves efeitos adversos, incluindo depressão respiratória e overdose.
Mas o que torna o N-pirrolidino protonitazeno tão perigoso? Ao contrário de outras drogas tradicionais, os opioides sintéticos são projetados para serem mais potentes e menos previsíveis. Eles podem ser mortais mesmo em pequenas quantidades, especialmente quando combinados com álcool ou outras substâncias.
Como Funciona o Sistema de Alerta Rápido sobre Drogas (SAR)?
O SAR é uma ferramenta essencial no combate às drogas emergentes no Brasil. Criado para monitorar e responder rapidamente à circulação de novas substâncias, ele funciona de maneira colaborativa, permitindo que qualquer pessoa envie informações sobre casos suspeitos para o e-mail sar@mj.gov.br.
Mas como essa rede de vigilância consegue operar com tamanha eficiência? Segundo Marta Machado, secretária de Políticas sobre Drogas e Gestão de Ativos, o sucesso do SAR está na sua capacidade de integrar dados de diferentes fontes, desde laboratórios forenses até relatos de cidadãos. “Com o SAR, reforçamos o controle das substâncias que circulam, e isso é fundamental tanto do ponto de vista do enfrentamento aos mercados ilegais quanto do ponto de vista da prevenção”, afirmou.
Por Que Essas Substâncias Surgem Com Tanta Frequência?
A indústria das drogas sintéticas é como um jogo de gato e rato. Enquanto governos e autoridades tentam controlar certas substâncias, traficantes e fabricantes criam novas variantes para escapar das leis. Esse ciclo vicioso tem resultado em uma verdadeira corrida armamentista química, onde o desconhecido sempre parece estar à frente.
Mas o que motiva essa constante reinvenção? Para muitos, o lucro é o principal fator. As drogas sintéticas são relativamente baratas de produzir e podem ser vendidas por preços altos, especialmente em mercados clandestinos. Além disso, a falta de regulamentação em alguns países facilita sua distribuição global.
As Consequências da Falta de Informação e Educação
Um dos maiores desafios no combate às drogas emergentes é a falta de informação adequada entre os consumidores. Muitos jovens, por exemplo, não sabem exatamente o que estão consumindo ao adquirir produtos como os Magic Mushroom Gummies. Eles podem acreditar que estão experimentando algo inofensivo, mas na verdade estão colocando suas vidas em risco.
Isso nos leva a uma pergunta crucial: como podemos educar melhor a população sobre os perigos dessas substâncias? Campanhas de conscientização, programas escolares e plataformas digitais podem ser aliados poderosos nessa luta.
O Papel da Polícia Científica e da Polícia Federal
A descoberta dessas três novas substâncias no Brasil só foi possível graças ao trabalho conjunto da Polícia Científica de Santa Catarina e da Polícia Federal. Essas instituições desempenham um papel vital no monitoramento e controle de drogas ilícitas, utilizando tecnologia avançada e métodos científicos para identificar compostos desconhecidos.
Mas será que nossas forças de segurança estão preparadas para lidar com a crescente complexidade do mercado de drogas sintéticas? Investimentos em pesquisa e treinamento são fundamentais para garantir que essas instituições continuem à frente dos traficantes.
Os Impactos Sociais e Econômicos das Novas Substâncias
As drogas emergentes não afetam apenas a saúde pública; elas também têm impactos sociais e econômicos significativos. Hospitais e sistemas de saúde precisam lidar com um número crescente de casos relacionados a overdoses e intoxicações, enquanto famílias enfrentam as consequências emocionais e financeiras desses eventos.
Além disso, o mercado ilegal de drogas movimenta bilhões de reais anualmente, financiando atividades criminosas e contribuindo para a violência urbana. Como podemos interromper esse ciclo?
O Que Outros Países Podem Ensinar ao Brasil?
O Canadá, a Bélgica e o Chile já haviam registrado a presença dessas substâncias antes de sua chegada ao Brasil. Esses países implementaram estratégias inovadoras para combater o problema, como o uso de inteligência artificial para monitorar redes de tráfico e campanhas públicas de conscientização.
Será que o Brasil pode aprender com essas experiências internacionais? A troca de informações e boas práticas entre nações pode ser uma peça-chave para fortalecer nossas políticas de controle de drogas.
A Importância da Agilidade no Registro de Substâncias Emergentes
Um dos aspectos mais impressionantes do caso recente foi a rapidez com que as três novas substâncias foram incluídas nos controles nacionais. Em apenas 19 dias, o Ministério da Justiça concluiu todo o processo, demonstrando que agilidade e eficiência são possíveis quando há coordenação entre diferentes setores.
Mas será que essa velocidade pode ser mantida em situações futuras? Investimentos em infraestrutura e recursos humanos serão essenciais para garantir que o Brasil continue respondendo rapidamente a novas ameaças.
Como o SAR Pode Ser Aprimorado?
Embora o SAR já tenha demonstrado sua eficácia, ainda há espaço para melhorias. Incluir mais parcerias com universidades e centros de pesquisa, por exemplo, pode ampliar a capacidade de detecção e análise de novas substâncias.
Outra sugestão seria a criação de uma plataforma online para facilitar o envio de notificações e o acesso a informações atualizadas sobre drogas emergentes. Essa iniciativa poderia engajar ainda mais a população e fortalecer a rede colaborativa do SAR.
O Futuro das Políticas Sobre Drogas no Brasil
Diante desses desafios, fica claro que as políticas sobre drogas precisam evoluir constantemente. Combater o tráfico e a produção de substâncias ilícitas é importante, mas também devemos focar na prevenção e na educação.
Será que estamos prontos para enfrentar os próximos desafios? O futuro dependerá de nossa capacidade de adaptar estratégias e investir em soluções inovadoras.
Conclusão: Um Chamado à Ação Coletiva
As três novas substâncias identificadas no Brasil são um sinal de alerta para todos nós. Elas representam não apenas uma ameaça à saúde pública, mas também um desafio para nossas instituições e políticas públicas. Precisamos agir agora, com determinação e colaboração, para proteger nossas comunidades e construir um futuro mais seguro.
Perguntas Frequentes (FAQs)
Qual é o papel do SAR no combate às drogas emergentes?
O SAR monitora e responde rapidamente à circulação de novas substâncias, integrando dados de diferentes fontes para fortalecer o controle nacional.
Quais são os riscos do N-pirrolidino protonitazeno?
Essa substância pode causar depressão respiratória, overdose e outros efeitos graves, especialmente quando combinada com álcool ou outras drogas.
Como posso ajudar o SAR a identificar novas substâncias?
Você pode enviar relatos detalhados para o e-mail sar@mj.gov.br, fornecendo informações completas sobre casos suspeitos.
Por que as drogas sintéticas são tão perigosas?
Elas são projetadas para serem mais potentes e menos previsíveis, aumentando o risco de efeitos adversos graves.
O que o Brasil pode aprender com outros países?
Estratégias como o uso de inteligência artificial e campanhas públicas de conscientização podem ser adaptadas para fortalecer nossas políticas de controle de drogas.
Para informações adicionais, acesse o site
